Ðû²¼Ê±¼ä£º2021-10-28µã»÷£º4051
ÕªÒª
½ÓÄÉÄ£Äâ´óÆøÇéÐεÄÊÒÄÚÖÐÐÔÑÎÎíÇÖʴʵÑ飬̽ÌÖÁËÍÂÁ²ã×´¸´ºÏÖÊÁϵÄÇÖÊ´ÐÐΪ¡£Í¨¹ýɨÃèµç¾µ £¨SEM£© ÊÓ²ìÇÖÊ´ºóÍÂÁ½çÃæÐÎò£¬ÍŽáXÉäÏßÑÜÉäÒÇ £¨XRD£© ºÍÄÜÆ×ÒÇ £¨EDS£© ÆÊÎöÇÖÊ´²úÆ·ÒòËØ£¬²¢Í¨¹ýµç»¯Ñ§¼ì²âÆÊÎöÊÔÑù¾Óɲî±ðʱ¼äÑÎÎíÇÖÊ´ºóµÄÍâòÇÖʴ״̬£¬Ì½ÌÖÍÂÁ¸´ºÏ°åÔÚ·þÒÛÇéÐÎϵÄÇÖÊ´»úÖÆ¡£Ð§¹ûÅú×¢£ºÍÂÁ¸´ºÏ°åÔÚÑÎÎíÇéÐÎÏÂÍÂÁ×é³ÉÇÖÊ´Ôµç³Ø£¬AlΪÑô¼«ÍΪÒõ¼«£¬ÒõÑô¼«Ãæ»ý±ÈÔ½´ó£¬ÇÖÊ´ËÙÂÊÔ½´ó¡£Ëæ×ÅÇÖÊ´µÄÒ»Ö±¾ÙÐУ¬ÍÂÁ½çÃæµÄCuÒ»²à±¬·¢ÇÖÊ´£¬ÇÒ¿¿½ü½çÃæµÄλÖÃÇÖÊ´***ΪÑÏÖØ£¬Ëæ×ÅÇÖʴʱ¼äÑÓÉ죬ÂÁ»ùÌå·ºÆðÑÏÖØµÄ°þÊ´Õ÷Ïó£¬CuÏÕЩÎÞת±ä¡£ÇÖÊ´²úÆ·ÒòËØÎªAl2O3£¬Al£¨OH£©3ºÍAlO£¨OH£©£¬µç»¯Ñ§Ð§¹ûÏÔʾ£ºÍÂÁ¸´ºÏ°åÔÚÇÖÊ´µÄÀú³ÌÖУ¬ÇÖÊ´ËÙÂÊ·ºÆðÏÈÔöÌíºó¼õСÔÙÔöÌíµÄÇ÷ÊÆ¡£
Òªº¦´Ê£ºÍÂÁ²ã×´¸´ºÏ°å£» ÑÎÎíÇÖÊ´£» µç»¯Ñ§£» Ê§ÖØ£» ÇÖÊ´²úÆ·
ÍÂÁ¸´ºÏ°å²Ä×÷ΪһÖÖÐÂÐ͸´ºÏÖÊÁÏ£¬¼æ¾ßÁËÂÁµÄÖÊÇá¡¢¾¼ÃºÍ͵ĽӴ¥µç×èµÍ¡¢Íâ±íÑŹۡ¢µ¼µçÐԺᢵ¼ÈÈÂʸߵÈÓŵ㣬ÆäÆÕ±éÓ¦ÓÃÓÚÆû³µ¡¢µç×Ó¡¢µçÁ¦¡¢µçÆ÷¡¢Ê¯ÓÍ¡¢»¯¹¤¡¢Ôì´¬¡¢Ò±½ð¡¢»úе¡¢º½¿Õº½Ìì¡¢ÉúÑÄÓþߡ¢Ô×ÓÄܵȹ¤ÒµÁìÓò[1-3]¡£ÍÂÁ¸´ºÏ°åºã¾Ã·þÒÛÓÚ´óÆøÇéÐÎÖУ¬±¬·¢µÄÇÖÊ´ÀàÐ;³£¾ßÓжàÑùÐÔ£¬ÓÉÓÚ²î±ðµÄÖÊÁÏÖ®¼ä»áÐγɵçż¶Ô£¬ÇÒÔÚÇÖÊ´µÄÀú³ÌÖÐÍùÍù»¹»áÊܵ½½éÖÊÖÐÇÖÊ´ÐÔÀë×ÓµÄ×÷Óã¬Òò´ËÆäÇÖÊ´»úÀíÏà¶ÔÖØ´ó£¬ÆäÖг£¼ûÉæ¼°µÄÇÖÊ´ÀàÐͰüÀ¨µçżÇÖÊ´¡¢µãÊ´¡¢Îó²îÇÖÊ´¡¢***ÇÖÊ´¡¢»¯Ñ§ÇÖÊ´¼°µç»¯Ñ§ÇÖÊ´µÈ[4-6]£¬²¢ÇÒÍâòÍùÍù¾ßÓжۻ¯Ä¤£¬¶ÔÆä¾ßÓб£»¤×÷Ó㬵«Íâò¾³£±£´æ¾Ö²¿È±ÏÝ£¬µ±±£´æÆÆËð¶Û»¯Ä¤µÄ»îÐÔÀë×Ó £¨Ö÷ÒªÊÇÂ±ËØÔ×ÓCl£¬F£¬Br£¬I£¬At£© ÓëÅäλÌå £¨Ë®ÖеÄOH-£© ʱ£¬ÈÝÒ×Ôì³É¶Û»¯Ä¤µÄ¾Ö²¿ÆÆËð£¬Ëæ×Å·þÒÛʱ¼äµÄÑÓÉ죬ÍÂÁÖÊÁÏÔâÊܺÜÇ¿µÄÆÆËð×÷ÓÃ[7-9]¡£±ðµÄ£¬Í°åºÍÂÁ°åÍŽáµÄ½çÃæ´¦ÔÚÖÆ±¸Àú³ÌÖÐÓÉÓÚÔªËØÖ®¼äµÄÀ©É¢×÷Óã¬ÐγÉÁ˽ðÊô¼ä»¯ºÏÎÕâЩ½ðÊô¼ä»¯ºÏÎï¶Ô¸´ºÏ°åµÄÇÖÊ´¾ßÓÐÒ»¶¨µÄÓ°Ïì×÷Óá£Ñо¿Åú×¢£¬ÔÚÍÂÁ½çÃæ´¦±£´æ×ŶàÖÖ½ðÊô¼ä»¯ºÏÎÀýÈçCuAl¡¢CuAl2¡¢CuAl4ºÍCu9Al4£¬ÕâЩ½ðÊô¼ä»¯ºÏÎïËäÈ»»áÔöÇ¿ÒìÖÖ½ðÊôµÄ½áÐÁ¦£¬µ«Í¬Ê±»áÏ÷ÈõÖÊÁϵÄÁ¦Ñ§ÐÔÄÜ[10-12]¡£·ëÁ¢³¼µÈ[13]ÒÔΪÔÚ½ðÊô¼ä»¯ºÏÎï²ã±ßÑØÈÝÒ×±¬·¢Ó¦Á¦¼¯ÖУ¬´Ó¶øÃÈÉúÁÑÎÆÔ´£¬Í¨¹ýÇÖÊ´ÐÔÀë×ÓµÄÇÖÊ´¼ÓËÙÇÖÊ´µÄ±¬·¢¡£ÒóìñìĵÈ[14]È´·¢Ã÷ÍÂÁÇ¥º¸ÌÖÂÛÖеĽðÊô¼ä»¯ºÏÎïÊǸߵçλÒõ¼«Ï࣬²»Ò×±¬·¢ÇÖÊ´¡£ÓÈÆäµ±ÍÂÁÖ®¼ä×é³ÉÁ˵çż¶Ô£¬±¬·¢µÄµçżÇÖÊ´¶ÔÆäËûÇÖÊ´ÀàÐÍÒ²¾ßÓÐÒ»¶¨µÄÔö½ø×÷Óá£ÕÔÑÒµÈ[15]ÒÔΪ¸²Í°å £¨CCL£© ±È´¿ÍÄÍÊ´ÐÔÄܲÓÉÓÚ±¬·¢Á˵çżÇÖÊ´¡£³Â¹úºêµÈ[16]Ñо¿ÁË220 kV±äµçÕ¾ÍÂÁ¹ý¶ÉÏß¼ÐÇÖÊ´Óë¶ÏÁѵÄÎÊÌ⣬Ñо¿ÒÔΪÍÂÁ¹ý¶ÉÏ߼еײ¿±¬·¢µÄº¸·ìÇÖÊ´²úÆ·ÊÇÓÉÓÚCu¡¢AlÁ½ÖÖ½ðÊôÖ®¼ä±¬·¢Á˵绯ѧ·´Ó¦£¬´Ó¶øÐγÉÁËÒÔÂÁΪ¸º¼«¡¢ÍΪÕý¼«µÄÔµç³Ø£¬¼ÓËÙÂÁ±¬·¢Îó²îÇÖÊ´¡£DavovdiµÈ[17,18]½«AFMºÍSECMÏàÍŽáÊÓ²ìÁËÂÁºÏ½ðÔÚNaClÈÜÒºÖеÄÇÖÊ´ÐÐΪ£¬·¢Ã÷ÂÁºÏ½ð***³õ±¬·¢µÄµãÊ´ÊÇÓÉÓÚ»ùÌåÖÐÑô¼«ÐÔ½ðÊô¼ä»¯ºÏÎïµÄÓÅÏÈÇÖÊ´»òÓë½ðÊô¼ä»¯ºÏÎïÏà½ü¾ÖÓòµÄ½ðÊô±¾ÌåµÄÇÖÊ´Ôì³ÉµÄ£¬Ëæ×ÅÖð½¥ÉÏÉýµÄÑô¼«µç¼«µç룬ÇÖÊ´½øÒ»²½¼ÓÉî¡£
´óÆøÌ»Â¶ÇÖʴʵÑéÊÇÑо¿´óÆøÇÖÊ´***׼ȷ¡¢***¿É¿¿µÄÒªÁ죬µ«ÇøÓòÐÔÇ¿¡¢ÊµÑéÖÜÆÚ³¤£¬ÊµÑéЧ¹ûµ¹ÔËÓÚÆÕ±éÍÆ¹ã[19-22]¡£±¾ÎÄͨ¹ýÄ£Äâ´óÆøÇÖÊ´¾ÙÐÐÊÒÄÚÖÐÐÔÑÎÎíʵÑéÒÔËõ¶ÌʵÑéÖÜÆÚ£¬À´Ì½ÌÖÔÚÂÈÀë×ÓµÄ×÷ÓÃϲî±ðÒõÑô¼«Ãæ»ý±ÈµÄÍÂÁ¸´ºÏ°å²ÄÇÖÊ´ÐÐΪ£¬ÅжÏÇÖÊ´¶Ô½çÃæ²ãÍŽáµÄÓ°Ï죬½ø¶ø»ñµÃ½çÃæ²ãÇÖÊ´¶ÔÍŽáʧЧµÄÓ°Ïì»úÖÆ£¬ÎªÒÔºó»ñµÃÇÖÊ´Ìõ¼þϵĸ´ºÏ°å·þÒÛÌõ¼þÔ¼Êø±ê×¼µÓÚ¨ÀíÂÛ»ù´¡¡£
1 ʵÑéÒªÁì
ʵÑéÖÊÁÏÑ¡ÓÃÍÂÁ²ã×´¸´ºÏ°å²Ä£¬½«Æä¼Ó¹¤³É20 mm¡Á20 mm¡Á6.6 mºÍ20 mm¡Á20 mm¡Á3 mmµÄÊÔÑù£¬Èçͼ1Ëùʾ¡£Á½°åͨ¹ýÖýÔþ¹¤ÒÕÐγÉÒ±½ðÍŽᣬÔÚ½çÃæ´¦±£´æÈý²ãÀ©É¢²ã£¬ÒòËØÎªAlCu¡¢Al2CuºÍAl4Cu9¡£½«ÍÂÁÍŽá½çÃæÓÃ600ºÅµ½2000ºÅɰֽÖð¼¶´òÄ¥²¢Å×¹âÖÁÍâÃ²×ÆË¸Ôȳƣ¬Óþƾ«²ÁÏ´ºó´µ¸É²¢·ÅÔÚ¸ÉÔïÃóÀï¸ÉÔï48 hºó£¬Ê¹ÓÃÓα꿨³ßÕÉÁ¿ÊÔÑùÏÖʵ³ß´ç£¬²¢Óþ«¶ÈΪ0.001 mgµÄµç×ÓÌìÆ½³Æ³ÆÁ¿ÊÔÑùÔʼÖÊÁ¿¼Í¼ÏÂÀ´¡£

ÖÐÐÔÑÎÎíÇÖʴʵÑ鯾֤GB 6458-86ÔÚDG-170211ÑÎÎíÇÖÊ´»úÉϾÙÐС£ÓÃÃÞÉþ½«ÊÔÑùÐü¹ÒÔÚÑÎÎíÇÖÊ´ÏäÊÂÇéÊÒÄÚ£¬ÊµÑéζÈΪ35 ¡æ£¬Ñ¡È¡²î±ðʱ¼ä¾ÙÐÐŨ¶ÈΪ5% £¨ÖÊÁ¿·ÖÊý£© NaClÈÜÒºµÄÒ»Á¬ÑÎÎíʵÑ飬ѡȡÑÎÎíÇÖʴʱ¼ä»®·ÖΪ24£¬144ºÍ240 h¡£ÑÎÎíʵÑéºó£¬¹ÎÏÂÍâòÇÖÊ´²úÆ·¼°Íâò¸½×ŵijÁ»ýÑΣ¬¾Æ¾«Ï´åª´µ¸Éºó£¬¸ÉÔï48 hÔÙ¾ÙÐгÆÖØ£¬***ºó¾ÙÐÐÏà¹ØÅÌËãºÍ¼ì²â¡£ÔÚVSP300µç»¯Ñ§ÊÂÇéÕ¾¾ÙÐе绯ѧʵÑ飬±¥ºÍ¸Ê¹¯Îª²Î±Èµç¼«£¬²¬Ë¿Îª¶Ôµç¼«£¬ÊÂÇéµç¼«¼´ÍÂÁ¸´ºÏ°åʹÓÃÈÈÈÛ½º½«³ýÁ˱»²âÃæÒÔÍâ¾ùÍ¿·âºÃ£¬±»²âÃæÎªÍÂÁµÄÍŽá½çÃæ£¬¼«»¯ÇúÏßɨÃè¹æÄ£ÊÇ-1~1 V£¬É¨ÃèËÙÂÊΪ10 mV/s£¬µç»¯Ñ§×迹ƵÂʹæÄ£Îª105~10-2 Hz£¬µÈЧµç·ͼͨ¹ýZSIMPWINÈí¼þÆÊÎöÄâºÏ£¬½ÓÄÉS-3400ɨÃèµç¾µ £¨SEM£© ¶ÔÍÂÁ¸´ºÏ°åÍâò¼°ÇÖÊ´²úÆ·¾ÙÐÐ΢¹ÛÐÎò¼°132-1D EDXÄÜÆ× £¨EDS£© ÆÊÎöÒòËØ£¬Ê¹ÓÃXRD-7000ÐÍXÉäÏßÑÜÉäÒÇ £¨XRD£© ¼ì²âÇÖÊ´²úÆ·ÒòËØ£¬É¨Ãè½Ç¶ÈΪ10¡ã~90¡ã£¬É¨ÃèËÙÂÊΪ8¡ã/min¡£ÇÖÊ´Ê§ÖØ½ÓÄɹ«Ê½
ÅÌËã»ñµÃ£¬ÆäÖÐW1ΪÇÖÊ´ºóÖØÁ¿£¬g£¬W0ΪÇÖÊ´Ç°ÖØÁ¿£¬g£¬SΪÊÔÑù̻¶ÔÚÑÎÎíÇéÐÎϵÄÃæ»ý£¬m2¡£
Ч¹ûÓëÆÊÎö
2.1 µç»¯Ñ§¼ì²â
ΪÁËÑо¿ÒõÑô¼«Ãæ»ý±È £¨±»²âÃæÉÏÒõ¼«ÍÃæ»ýÓëÑô¼«ÂÁÃæ»ýµÄ±ÈÖµ£© ¶ÔÍÂÁ¸´ºÏ°åÇÖÊ´ÐÔÄܵÄÓ°Ï죬½«ÒõÑô¼«Ãæ»ý±È»®·ÖΪ0.16ºÍ0.18µÄÍÂÁ¸´ºÏ°å½þÅÝÔÚNaClÈÜÒºÖоÙÐе绯ѧ¼ì²â£¬»ñµÃ¼«»¯ÇúÏßͼºÍµç»¯Ñ§×迹Æ×¡£Í¼2Ϊ²âµÃµÄ¼«»¯ÇúÏßͼ£¬Í¨¹ýTafelÍâÍÆ·¨ÅÌËãµÃ³öµÄ×ÔÇÖÊ´µçÁ÷ÃܶȺÍ×ÔÇÖÊ´µçλÈç±í1Ëùʾ¡£×ÔÇÖÊ´µçÁ÷ÃܶȿÉÒÔ·´Ó¦ÖÊÁϵÄÄÍÇÖÊ´ÐÔÄÜ£¬×ÔÇÖÊ´µçÁ÷ÃܶÈÔ½´ó£¬ËµÃ÷ÖÊÁϵÄÇÖÊ´ËÙÂÊÔ½¿ì£¬ÄÍÇÖÊ´ÐÔÄÜÔ½²î¡£´Ó±í1ÖпÉÒÔ¿´³ö£¬ÒõÑô¼«Ãæ»ý±ÈΪ0.16µÄÍÂÁ¸´ºÏ°åµÄÇÖÊ´µçÁ÷ÃܶÈΪ19.2 ¦ÌA¡¤cm-2£¬ÒõÑô¼«Ãæ»ý±ÈΪ0.18µÄÍÂÁ¸´ºÏ°åµÄÇÖÊ´µçÁ÷ÃܶÈΪ36.8 ¦ÌA¡¤cm-2£¬¶ø´¿ÂÁµÄÇÖÊ´µçÁ÷ÃܶÈΪ1.852 ¦ÌA¡¤cm-2£¬ÍÂÁ¸´ºÏ°å×é³ÉµÄµçż¶Ô½µµÍÁËÂÁµÄÄÍÊ´ÐÔÄÜ£¬Ëæ×ÅÒõÑô¼«Ãæ»ý±ÈµÄÔö´ó£¬×ÔÇÖÊ´µçÁ÷ÃܶÈÔö´ó£¬ËµÃ÷ÍÂÁÒõÑô¼«Ãæ»ý±ÈÔ½´ó£¬ÄÍÇÖÊ´ÐÔÄܱä²î¡£


ͼ3Ϊ²î±ðÒõÑô¼«Ãæ»ý±ÈµÄÍÂÁ¸´ºÏ°å²âµÃµÄµç»¯Ñ§×迹Æ×£¬Nyquistͼ¾ùÓÉÒ»¸öÈÝ¿¹»¡×é³É£¬bodeͼÖеÄÏàλ½ÇͼÏÔʾÍÂÁ¸´ºÏ°åΪһ¸öʱ¼ä³£Êý£¬¶ø´¿ÂÁΪÁ½¸öʱ¼ä³£Êý£¬½«µç»¯Ñ§×迹Æ×ÓÃZSIMPWINÈí¼þÄâºÏ³ÉÈçͼ4aºÍbËùʾµÄµÈЧµç·ͼ£¬ÄâºÏÊý¾ÝÈç±í2Ëùʾ£¬ÆäÖÐRsΪÈÜÒºµç×裬µçÈÝÓó£Ïà½ÇÔª¼þÈ¡´ú£¬CPEdl´ú±íÊÂÇéµç¼«ÍâòµÄË«µç²ãµçÈÝ£¬Rb´ú±íÇÖÊ´²úÆ·²ãµç×裬Rct´ú±íÊÂÇéµç¼«Íâò·´Ó¦µÄµçºÉ×ªÒÆµç×裬µçºÉ×ªÒÆµç×èԽС£¬ËµÃ÷ÖÊÁϵÄÄÍÇÖÊ´ÐÔÄÜÔ½²î¡£´Ó±í2ÖÐÄâºÏµÄÊý¾Ý¿ÉÒÔ¿´³ö£¬ÒõÑô¼«Ãæ»ý±ÈΪ0.16µÄÍÂÁ¸´ºÏ°åµÄRctΪ1421 ¦¸¡¤cm2£¬ÒõÑô¼«Ãæ»ý±ÈΪ0.18µÄÍÂÁ¸´ºÏ°åRctΪ219 ¦¸¡¤cm2£¬ËµÃ÷Ëæ×ÅÒõÑô¼«Ãæ»ý±ÈµÄÔö´ó£¬ÊÂÇéµç¼«ÍâòµÄµçºÉ×ªÒÆµç×è¼õС£¬ÖÊÁϵÄÄÍÇÖÊ´ÐÔÄܽµµÍ£¬´¿ÂÁµçºÉ×ªÒÆµç×è***´ó£¬¸ÃЧ¹ûÓ뼫»¯ÇúÏßµÄЧ¹ûÏàÎǺϡ£´ÓbodeͼÖеÄ×迹ÇúÏß¿ÉÒÔ¿´³ö£¬´¿ÂÁµÄ×迹ֵ***´ó£¬ÇÒÔö´óÒõÑô¼«Ãæ»ý±Èʱ×迹ֵ½µµÍ£¬Ò²Åú×¢ÍÂÁ¸´ºÏ°åµÄÄÍÇÖÊ´ÐÔÄܽµµÍ¡£




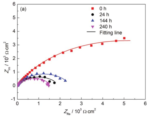
ͼ5Ϊ¾Óɲî±ðʱ¼äÑÎÎíÇÖÊ´ºóµÄÍÂÁ¸´ºÏ°å¼«»¯ÇúÏߣ¬ÏìÓ¦µÄÄâºÏÊý¾ÝÈç±í3Ëùʾ£¬´Ó±íÖпÉÒÔ¿´³ö£¬Ëæ×ÅÇÖʴʱ¼äµÄÑÓÉ죬ÇÖÊ´µçÁ÷ÃܶȷºÆðÏÈÔöÌíºó½µµÍ***ºóÔöÌíµÄÇ÷ÊÆ£¬ÕâÊÇÓÉÓÚÔÚÇÖÊ´×îÏÈ֮ǰ£¬ÖÊÁÏÍâò»áÁýÕÖÒ»²ã¶Û»¯Ä¤£¬±£»¤»ùÌåÃâÊÜÇÖÊ´ÈÜÒºµÄÇÖÊ´£¬´ËʱÖÊÁϵÄÄÍÇÖÊ´ÐÔÄܽϺᣵ±ÇÖÊ´Éú³¤µ½24 hʱ£¬ÖÊÁÏÍâòµÄÑõ»¯Ä¤±»ÇÖÊ´ÆÆËð£¬Âã¶³öÀ´µÄ»ùÌåÓëÇÖÊ´Òº½Ó´¥Ãæ»ýÔö´ó£¬Ê¹µÃÖÊÁϵÄÄÍÇÖÊ´ÐÔÄܱä²î¡£Ëæ×ÅÇÖÊ´¾ÙÐе½144 hµÄʱ¼ä£¬ÖÊÁÏÍâòÌìÉúеÄÇÖÊ´²úÆ·ÁýÕÖÔÚ»ùÌåÍâò£¬×è°ÇÖÊ´ÈÜÒº¶Ô»ùÌåµÄ½øÒ»²½ÇÖÊ´£¬ÖÊÁϵÄÄÍÇÖÊ´ÐÔÄÜÌá¸ß¡£µ±ÇÖÊ´µÖ´ï240 hʱ£¬ÓÉÓÚºóÌìÉúµÄÇÖÊ´²úÆ·ËÉÉ¢¶à¿×ÈÝÒ×ÍÑÂ䣬ʹµÃ»ùÌåÓëÈÜÒºÔÙÒ»´Î½Ó´¥£¬ÊÔÑùµÄÄÍÇÖÊ´ÐÔÄÜÔٴνµµÍ¡£


ͼ6Ϊ¾Óɲî±ðÑÎÎíÇÖʴʱ¼äºóµÄÍÂÁ¸´ºÏ°åµç»¯Ñ§×迹Æ×£¬´Óͼ6aÖпÉÒÔ¿´³ö£¬×迹Æ×¾ùÓÉÒ»¸öÈÝ¿¹»¡×é³É£¬ÇÒÈÝ¿¹»¡°ë¾¶Ëæ×ÅÇÖʴʱ¼äµÄÑÓÉ죬·ºÆðÏȼõСÔÙÔöÌí***ºó¼õСµÄÇ÷ÊÆ£¬ËµÃ÷ÖÊÁϵÄÄÍÇÖÊ´ÐÔÄÜËæ×ÅÑÎÎíÇÖʴʱ¼äµÄÔöÌí·ºÆðÏÈÌá¸ßºó½µµÍÔÙÌá¸ßµÄÇ÷ÊÆ¡£Í¼6bͼÖÐÏàλ½ÇͼÏÔʾΪһ¸öʱ¼ä³£Êý¡£Í¨¹ýZSIMPWINÈí¼þÄâºÏ³öµÄµÈЧµç·ͼ £¨Í¼4£© Êý¾ÝÈç±í4Ëùʾ¡£´Ó±í4ÖпÉÒÔ¿´³ö£¬Ã»¾ÓÉÑÎÎíÇÖÊ´µÄÍÂÁ¸´ºÏ°åRctΪ1.0¡Á104 ¦¸¡¤cm2£¬ÑÎÎíÇÖÊ´24 hºóRct½µµÍµ½1.9¡Á103 ¦¸¡¤cm2£¬µ½144 hʱRctÉý¸ßµ½7.6¡Á103 ¦¸¡¤cm2£¬µ±ÇÖÊ´Éú³¤µ½240 hʱ£¬RctÔٴνµµÍµ½3.0¡Á103 ¦¸¡¤cm2¡£ÓÉ´Ë¿ÉÒÔ¿´³ö£¬Ëæ×ÅÇÖʴʱ¼äµÄÑÓÉ죬µçºÉ×ªÒÆµç×è¾ù·ºÆðÏȼõСÔÙÔöÌí***ºó¼õСµÄÇ÷ÊÆ£¬²¨ÌØÍ¼ÖеÄ×迹ֵҲÊÇ·ºÆðÏȼõСÔÙÔöÌí***ºó¼õСµÄÇ÷ÊÆ£¬¸ÃЧ¹ûÓ뼫»¯ÇúÏßµÄЧ¹ûÏàÎǺϡ£



2.2 ÇÖʴ΢¹ÛÐÎò¼°ÇÖÊ´²úÆ·ÒòËØÆÊÎö
¾Óɲî±ðʱ¼äÑÎÎíÇÖÊ´ºóµÄÍÂÁ½çÃæÇÖʴ΢¹ÛÐÎòÈçͼ7Ëùʾ£¬´ÓͼÖпÉÒÔ¿´³ö£¬ÇÖÊ´¼¯ÖÐÔÚAlÒ»²à£¬CuÒ»²àÏÕЩÎÞת±ä£¬ÇÒÔÚ½çÃæ´¦µÄÇÖÊ´***ΪÑÏÖØ¡£ÇÖÊ´24 hʱ £¨Í¼7b£©£¬ÔÚÂÁÒ»²à·ºÆð¿í¶ÈÔȳơ¢¿¿½ü500 ¦ÌmµÄÏÁ³¤ÇÖÊ´¿Ó£¬ÇÖÊ´¿Ó´¦±»ÇÖÊ´µÄ»ùÌå·ºÆð·äÎÑ×´£¬ÔÚÂÁÒ»²àÑØ×ÅÍÂÁ½çÃæ´¦ÂþÑÜ׎ÏΪÖÂÃܵİ×É«¿é×´ÇÖÊ´²úÆ·£»ÇÖÊ´144 hʱÇÖÊ´¿ÓÃæ»ý±ä´ó£¬´ÓͼÖпÉÒÔ¿´µ½ÇÖÊ´¿ÓÄÚ×îÏÈÌìÉúеĹêÁÑ×´ÇÖÊ´²úÆ·£»ÇÖÊ´µÖ´ï240 hʱ£¬ÂÁ»ùÌå°þÊ´Õ÷ÏóÏÔÖø£¬ÇÖÊ´²úÆ·ÍÑÂäÕ÷ÏóÏÔ×Å£¬Âã¶³öµÄÂÁ»ùÌåÃæ»ý¸ü´ó¡£Í¼8ΪÇÖÊ´²úÆ·µÄÒòËØÆÊÎö£¬ÆäÖÐͼ8aÊÇÇÖÊ´²úÆ·XRD¼ì²âЧ¹û£¬Ð§¹ûÏÔʾÇÖÊ´²úÆ·µÄÒòËØÎªAl2O3£¬AlO£¨OH£© ºÍAl£¨OH£©3¡£´Óͼ8bµÄÄܯׯÊÎöÉÏ¿ÉÒÔ¿´³ö£¬ÇÖÊ´¿ÓÄÚÇÖÊ´²úÆ·µÄÔªËØ³ýÁËÓÐAlºÍOÖ®Í⣬ÉÐÓÐÒ»¶¨º¬Á¿µÄCl£¬ËµÃ÷Cl-ÊÇÖÂʹÍÂÁ¸´ºÏ°å±¬·¢ÇÖÊ´µÄÖ÷ÒªÒòËØ¡£


2.3 ÇÖÊ´¶¯Á¦Ñ§
ͼ9ΪÍÂÁ¸´ºÏ°åÔÚ5%NaClÑÎÎíÇéÐÎϾÙÐвî±ðʱ¼äÒ»Á¬ÇÖÊ´µÄ¶¯Á¦Ñ§ÇúÏߣ¬Í¨¹ýoriginÈí¼þÄâºÏ»ñµÃµÄÇúÏß·½³ÌÈçͼÖÐËùʾ£¬ÆäÖÐR2=0.9962£¬ËµÃ÷ÄâºÏЧ¹ûÓÅÒì¡£ÄâºÏµÄ·½³Ì·ºÆðÃÝÖ¸ÊýÐÎʽ£ºW=abn£¬ÆäÖÐnµÄ¾Þϸ´ú±íÇÖÊ´²úÆ·¶ÔÇÖÊ´µÄÓ°Ï죬µ±n£¼1ʱ£¬ËµÃ÷ÇÖÊ´²úÆ·¶ÔÇÖÊ´Àú³Ì¾ßÓÐÒÖÖÆ×÷Ó㻵±n£¾1ʱ£¬ËµÃ÷ÇÖÊ´²úÆ·¶ÔÇÖÊ´Àú³Ì¾ßÓÐÔö½ø×÷Óá£ÍÂÁ¸´ºÏ°åÑÎÎíÇÖÊ´»ñµÃµÄÇÖÊ´¶¯Á¦Ñ§·½³ÌÖÐnֵΪ1.55359£¬´óÓÚ1£¬ËµÃ÷ÇÖÊ´²úÆ·¶ÔÍÂÁ¸´ºÏ°åµÄÇÖÊ´¾ßÓÐÔö½ø×÷Óá£

2.4 ÍÂÁ¸´ºÏ°åÑÎÎíÇÖÊ´»úÀí
ͼ10ÊÇÍÂÁ¸´ºÏ°åÑÎÎíÇÖʴʾÒâͼ£¬µ±CuºÍAl¸´ºÏÔÚÒ»Æðʱ£¬Á½ÖÖ½ðÊôµÄµçλ²î×é³Éµçż¶Ô£¬CuµÄµçλ¸ßÓÚAlµÄµç룬ÒÔÊÇÇÖÊ´µÄÀú³ÌÖÐÂÁΪÑô¼«£¬CuΪÒõ¼«£¬Òò´ËAlµÄÇÖÊ´½ÏΪÑÏÖØ£¬¶øCu²àÏÕЩ²»ÇÖÊ´£¬ÕâÊǶÔÒõ¼«CuµÄÒ»ÖÖ±£»¤×÷Óá£ÇÖÊ´Àú³ÌÖÐÉæ¼°µÄµç»¯Ñ§·´Ó¦·½³ÌʽÓУº

ÔÚÇÖÊ´¸Õ×îÏȽ׶Σ¬ÓÉÓÚ½ðÊôÍâòÁýÕÖÒ»²ãÖÂÃܵĶۻ¯Ä¤£¬±£»¤»ùÌåÃâÊÜÇÖÊ´ÐÔÈÜÒºµÄÇÖÊ´£¬ÇÖÊ´ËÙÂʽÏÂý£»Ëæ×ÅÇÖʴʱ¼äÖð½¥ÑÓÉ죬ÓÉÓÚÇÖÊ´ÐÔÀë×ÓCl-µÄ±£´æ£¬Ê¹µÃ¶Û»¯Ä¤ÆÆË𣬻ùÌåÓëÈÜÒºÏà½Ó´¥£¬ÇÖÊ´ËÙÂʼÓËÙ£¬ÂÁ»ùÌåÉÏ·ºÆðµãÊ´¿Ó²¢±¬·¢ÐµÄÇÖÊ´²úÆ·£¬ÇÒ¿¿½üÍÂÁ½çÃæ´¦µÄAlÇÖÊ´½ÏΪÑÏÖØ£»ÇÖÊ´Öð²½¾ÙÐеÄÀú³ÌÖУ¬ÂÁ»ùÌåÉÏСµÄµãÊ´¿ÓÖð½¥À©Õ¹£¬ÍÂÁ½çÃæÖÜΧ¶à¸öÊ´¿ÓÁ¬Í¨Ðγɸü´ó¸üÉîµÄÇÖÊ´¿Ó£¬ÇÖÊ´²úÆ·Ôö¶à£¬³ýÁË¿é×´Ö®ÍâÉÐÓйêÁÑ×´µÄÇÖÊ´²úÆ·£¬×è°»ùÌåÓëCl-µÄ½Ó´¥£¬ÇÖÊ´ËÙÂʱäÂý£¬´ËÊ±Éæ¼°µÄ·´Ó¦·½³ÌʽÓУº

ÆäÖÐAlOOH¶Ô»ùÌå¾ßÓкÜÇ¿µÄ±£»¤×÷Óã»ÇÖÊ´ºóÆÚÓÉÓÚØÊºóÖð½¥ÐγÉËÉÉ¢¶à¿×Ò×ÓÚÍÑÂäµÄÇÖÊ´²úÆ·£¬ÓëCl-·´Ó¦ÏûÈÚ£¬Ê¹µÃ»ùÌåÔÙ´ÎÂã¶ÔÚÍâÃæ£¬ÓëÈÜÒº½Ó´¥Ãæ»ýÔö´ó£¬ÇÖÊ´ËÙÂÊÌá¸ß£¬´ËÊ±Éæ¼°µÄ·´Ó¦·½³ÌʽÓУº

Òò´ËÇÖÊ´Àú³ÌÊÇÒ»¸öÑ»·Íù¸´µÄÀú³Ì£¬Ö±µ½ÂÁ»ùÌå±»Öð½¥°þÊ´µô¡£
3 ½áÂÛ
£¨1£© ÍÂÁ¸´ºÏ°åÔÚÇÖÊ´Àú³ÌÖÐ×é³Éµçż¶Ô¼ÓËÙÁËAlµÄÇÖÊ´£¬ÍÂÁ¸´ºÏ°å¾ÓÉÑÎÎíÇÖÊ´ºó£¬ÇÖÊ´Ö÷Òª±¬·¢ÔÚAlÒ»²à£¬Cu²àÏÕЩÎÞת±ä£»ÇÒËæ×ÅÍÂÁÒõÑô¼«Ãæ»ý±ÈµÄÔö´ó£¬ÖÊÁϵÄÄÍÇÖÊ´ÐÔÄܱä²î¡£
£¨2£© ÓÉÓÚÍÂÁ¸´ºÏ°åµÄÇÖÊ´ÊÇÒ»¸öÑ»·Íù¸´µÄÀú³Ì£¬°üÀ¨»ùÌåµÄÏûÈÚ¡¢ÇÖÊ´²úÆ·µÄÐγÉÓëÍÑÂäÀú³Ì£»Ëæ×ÅÑÎÎíÇÖʴʱ¼äÖð½¥ÑÓÉ죬µç»¯Ñ§¼ì²âЧ¹ûÅú×¢ÍÂÁ¸´ºÏ°åµÄÄÍÇÖÊ´ÐÔÄÜ·ºÆðÏÈÌá¸ßºó½µµÍÔÙÌá¸ßµÄÇ÷ÊÆ¡£
£¨3£© ÍÂÁ¸´ºÏ°åÊ§ÖØÇúÏßÇкÏÃÝÖ¸Êý·½³ÌW=1.948¡Á10-5t3.17156£¬ÇÖÊ´²úÆ·¶ÔÇÖÊ´Àú³Ì¾ßÓÐÔö½ø×÷Óá£ÇÖÊ´²úÆ·ÒòËØÎªAl2O3¡¢AlO£¨OH£© ºÍAl£¨OH£©3£¬Cl-ʹµÃÖÊÁϱ¬·¢µãÊ´£¬ÔÚ¿¿½ü½çÃæ´¦£¬ÂÁ»ùÌ屬·¢ÇÖÊ´***ΪÑÏÖØ£»ËæºóÇÖÊ´¿Ó½øÒ»²½ÏòºáÏòºÍ×ÝÏòÀ©Õ¹£¬ÇÖÊ´²úÆ·Öð½¥Ôö¶à£¬ÔÙÓëCl-·´Ó¦¶øÍÑÂäÖØ¸´Ñ»·¾ÙÐС£
ȪԴ£ºÖйúÇÖÊ´Óë·À»¤Ñ§±¨
ÃâÔðÉùÃ÷£º±¾Õ¾²¿·ÖͼƬºÍÎÄ×ÖȪԴÓÚÍøÂçÍøÂçÕûÀí£¬½ö¹©Ñ§Ï°½»Á÷£¬°æÈ¨¹éÔ×÷ÕßËùÓУ¬²¢²»´ú±íÎÒÕ¾¿´·¨¡£±¾Õ¾½«²»¼ç¸ºÈκÎÖ´·¨ÔðÈΣ¬ÈôÊÇÓÐÇÖÕ¼µ½ÄúµÄȨÁ¦£¬ÇëʵʱÁªÏµag¹Ù·½µç×ÓÆ½Ì¨É¾³ý¡£